Realizing topological superconductivity and stable Majorana zero modes, which are envisioned for use in topological quantum computers, typically requires large magnetic fields (around .1 T). However, these strong magnetic fields can suppress superconductivity and hinder device integration. This invention employs three superconducting pads in proximity to a broad class of materials that exhibit spin-orbit coupling. This coupling may result in unequal Fermi velocities for the two spins. By carefully tuning the phases of the superconductors with a minimal or no magnetic field, the topological states can be stabilized.
- Implementation of topological superconductivity and Majorana zero-modes.
- Low-field superconducting circuits with enhanced stability.
- Hybrid carbon-based quantum devices.
- Topologically robust quantum computer.
- Operates under 1T, an order of magnitude lower than prior carbon-nanotube solutions
- Half-metallic tuning achieved via nanotube’s intrinsic properties
- Induced topological superconductivity through Ising superconductor coupling
- Simplified, scalable architecture suitable for integration into superconducting qubit arrays

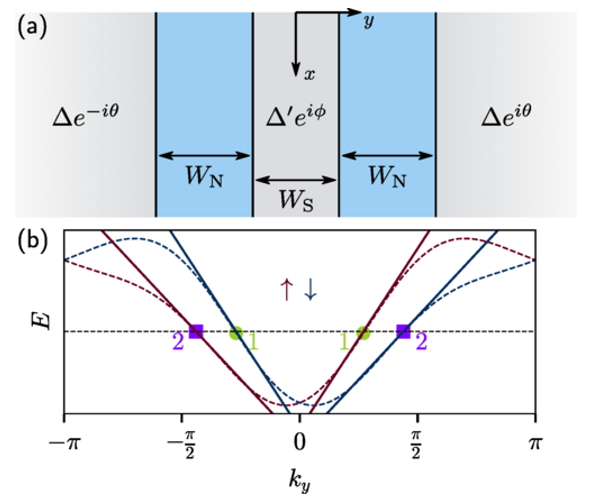
Phase-biased SNSNS junction (gray = superconductors, blue = normal metals). At kx = 0, it reduces to a 1D system where zero-energy crossings indicate topological phase transitions. (b) Transverse spectrum shows four Fermi points with unequal velocities for inner (green) and outer (purple) branches; solid lines show linearized spectra.
The technology has been theoretically demonstrated and validated through analytical modeling and tight-binding simulations. Furthermore, experimental realization is feasible using existing carbon nanotube platform levering small magnetic fields and standard superconducting fabrication process.
